El estudio de las lineas de espera, es el estudio del fenómeno de esperar en una fila esperando, ya sea en la caja de algún almacén o para ser atendidos en el medico.
El objetivo de este estudio es poder diseñar instalaciones de servicio a clientes que sean eficientes y cuyo rendimiento pueda ser cuantificado. Las principales medidas de eficiencia de una cola son:
- longitud promedio de la cola
- tiempo promedio de espera
- Utilización promedio de las instalaciones.
Los elementos principales de un sistema de colas son:
- cliente: persona u objeto que espera en la cola.
- Servidor: estación o persona que atiende o proporciona un servicio al cliente.
- Fuente: Punto donde se generan los clientes, la cual puede ser finita o infinita.
- Disciplina de la cola: Orden en el que el servidor atiende a los clientes, entre las que encontramos «Primero en entrar, primero en servir»; «ultimo en llegar, primero en salir».
- Comportamiento del cliente: Al haber cola , el cliente puede decidir entre rehusar a seguir en la cola o esperar.
El comportamiento de la cola puede ser estudiado en base a comportamientos de distribuciones de probabilidad.
Los tiempos entre llegadas a una cola son aleatorios, es decir no hay una relación entre el tiempo en que tarda en llagar una persona y la siguiente.
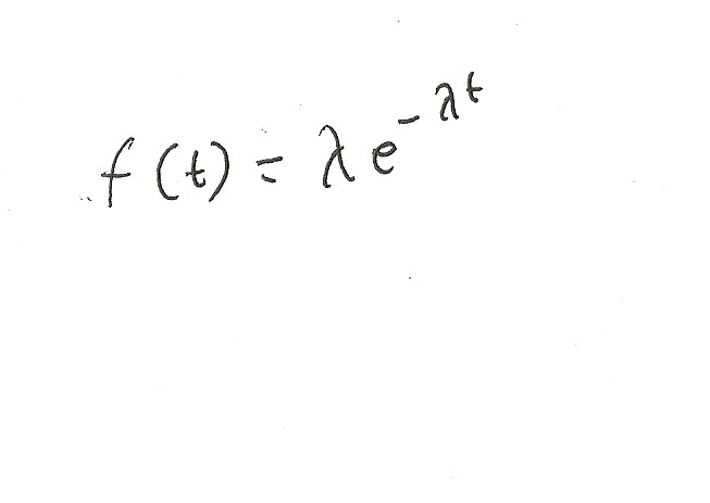
En los modelos de cola los tiempos entre llegada se expresan a través de una distribución exponencial con una función de densidad
Donde lambda es el tiempo promedio entre llegadas.
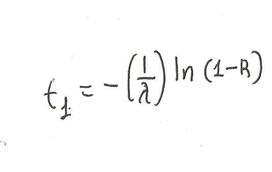
Ahora bien, para calcular o simular los tiempos en base a una distribución exponencial usaremos:
En donde R es un numero aleatorio
De tal forma que si sabemos que los clientes llegan en promedio 4 cada hora (lambda) y deseamos simular un tiempo de llegada generamos un numero aleatorio R digamos .9, el calculo seria
t=-(1/4)ln(1-.9)
Lo que nos da como resultado
0.577 horas.
Lo que equivaldría a un tiempo de llegada de 34.5 minutos.


